Microbial Diversity and Differentiating Factors of Cocoa Fermentation Systems: Nutritional Supplementation as a Modulation Strategy Assessed by Metabarcoding

Avatar
Poster
Voice is AI-generated
Connected to paperThis paper is a preprint and has not been certified by peer review

Microbial Diversity and Differentiating Factors of Cocoa Fermentation Systems: Nutritional Supplementation as a Modulation Strategy Assessed by Metabarcoding

Authors

Hernandez, C. E.; Mencia, A. M.; Solano, F.; Arciniegas, A. M.

Abstract

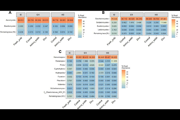
Cocoa fermentation is a spontaneous microbe-driven process in which yeasts, lactic acid bacteria (LAB), and acetic acid bacteria (AAB) generate the flavor precursors that determine the sensory quality of chocolate. Although the microbial ecology of cocoa fermentation has been increasingly studied through culture-independent methods, the effect of targeted nutritional interventions on community structure within geographically defined production territories has received limited attention. Here, we employed dual-marker metabarcoding (16S rRNA V4 and ITS1) with Illumina NovaSeq 6000 sequencing to characterize bacterial and fungal communities during spontaneous fermentation of Trinitario cocoa beans subjected to amino acid and zinc supplementation in the Limon province of Costa Rica. Fifteen samples were collected at 0, 24, and 48 h from control, amino acid-supplemented, and zinc-supplemented fermentations, each in duplicate. The bacterial community comprised 292 amplicon sequence variants (ASVs) representing 88 genera across 15 phyla; the fungal community comprised 1,117 ASVs representing 248 genera across 9 phyla. Firmicutes and Proteobacteria dominated the bacterial fraction, with a pronounced shift from Tatumella-dominated fresh pulp toward Weissella- and Leuconostoc-rich assemblages during fermentation. Amino acid supplementation reduced Firmicutes at 48 h while favoring Acetobacter proliferation; zinc supplementation promoted Mucoromycota and Wickerhamomyces while sustaining Liquorilactobacillus abundance. Beta diversity analyses (Aitchison distance, weighted and unweighted UniFrac) confirmed significant compositional differences between treatments (PERMANOVA, p [≤] 0.01), although alpha diversity indices did not differ between individual treatment pairs. Sparse Estimation of Correlations among Microbiomes (SECOM) revealed structured co-occurrence networks, including positive associations between Gluconobacter and Acetobacter and negative associations between Tatumella and several AAB genera. Predicted functional profiles (PICRUSt2) showed no significant pathway-level differences. Taken together, these results show that nutritional supplementation can reshape microbial community composition without reducing overall diversity. This provides a viable approach for steering fermentation outcomes in cocoa-producing territories that seek quality differentiation.

Follow Us on

0 comments

Add comment