An RXTE Search for the Sterile Neutrino Decay in Galaxy Clusters

Avatar
Poster
Voice is AI-generated
Connected to paperThis paper is a preprint and has not been certified by peer review

An RXTE Search for the Sterile Neutrino Decay in Galaxy Clusters

Authors

Mark J. Henriksen

Abstract

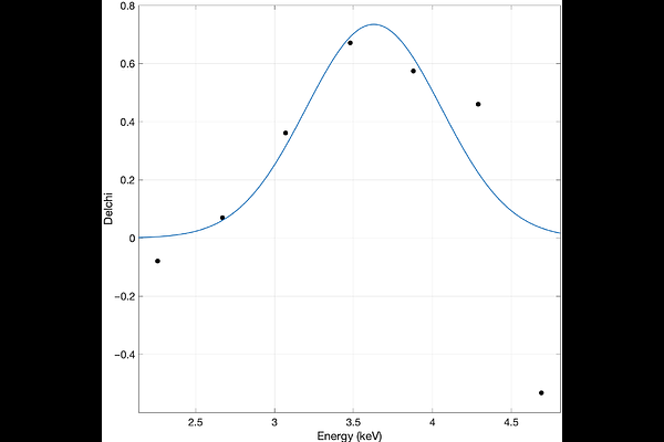
We have searched for the 3.55 keV line from sterile neutrino decay using 3.1 megaseconds of RXTE cluster data. A 2.5$σ$ excess of emission over a thermal model is found over the energy span of the 3.55 keV line in the combined spectra of the eight clusters that individually have an excess. The residuals are added to increase the signal to noise ratio of the excess, which is then modeled with a Gaussian to simulate the instrumental spectral response. We find a significant correlation (r = 0.76) for a line centered at 3.6 keV with a model flux of 3.07 x 10$^{-5}$ ph cm$^{-2}$ s$^{-1}$. Mixing angle for detected clusters ranges from 0.35 to 6.2 x 10$^{-10}$. The decay rate inferred from the line flux is strongly correlated (r = 0.87) with cluster temperature, which is due to hotter, more massive clusters having a larger amount of dark matter. Approximately half of the decay line total flux comes from the Coma cluster. We fit the Coma cluster spectrum with two different three-component models. The first includes a Gaussian fixed at 3.55 keV to model soft emission. The second three-component model uses a second thermal component to model soft emission. The model fit parameters indicate that the second thermal component is modeling high-energy residuals rather than low ones, where the Gaussian is. Though our line fluxes exceed most reported detections and upper limits, they do not overproduce the dark matter. We conclude that some fraction of the marginally detected excess could be attributed to the decay line since low-temperature thermal emission and systematics fail to model it completely.

Follow Us on

0 comments

Add comment