Beyond the Laplacian: Doubly Stochastic Matrices for Graph Neural Networks

Avatar
Poster
Voice is AI-generated
Connected to paperThis paper is a preprint and has not been certified by peer review

Beyond the Laplacian: Doubly Stochastic Matrices for Graph Neural Networks

Authors

Zhaobo Hu, Vincent Gauthier, Mehdi Naima

Abstract

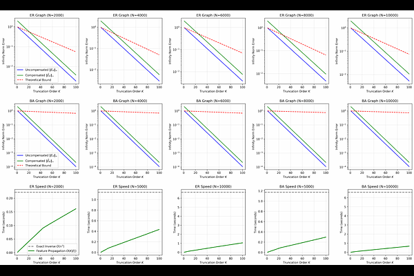
Graph Neural Networks (GNNs) conventionally rely on standard Laplacian or adjacency matrices for structural message passing. In this work, we substitute the traditional Laplacian with a Doubly Stochastic graph Matrix (DSM), derived from the inverse of the modified Laplacian, to naturally encode continuous multi-hop proximity and strict local centrality. To overcome the intractable $O(n^3)$ complexity of exact matrix inversion, we first utilize a truncated Neumann series to scalably approximate the DSM, which serves as the foundation for our proposed DsmNet. Furthermore, because algebraic truncation inherently causes probability mass leakage, we introduce DsmNet-compensate. This variant features a mathematically rigorous Residual Mass Compensation mechanism that analytically re-injects the truncated tail mass into self-loops, strictly restoring row-stochasticity and structural dominance. Extensive theoretical and empirical analyses demonstrate that our decoupled architectures operate efficiently in $O(K|E|)$ time and effectively mitigate over-smoothing by bounding Dirichlet energy decay, providing robust empirical validation on homophilic benchmarks. Finally, we establish the theoretical boundaries of the DSM on heterophilic topologies and demonstrate its versatility as a continuous structural encoding for Graph Transformers.

Follow Us on

0 comments

Add comment